Севастополь
Температура
-2025-10.png
)

25 процентиль распределения внутримесячных значений суточных температур


75 процентиль распределения внутримесячных значений суточных температур


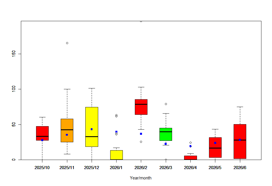
Осадки на Ай-Петри


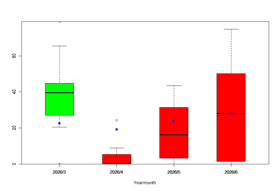
Случаи выпадения 40мм осадков за 3 последовательных дня на Ай-Петри
-2025-10.png
)

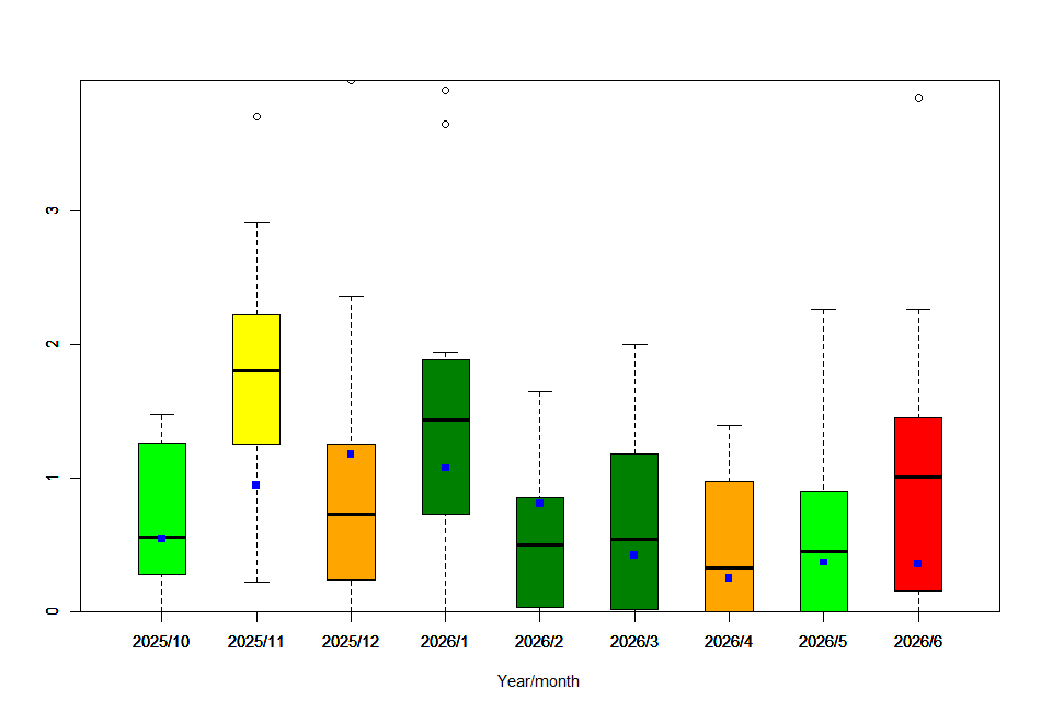
Максимальные суточные осадки в месяц на Ай-Петри

